Beranda
/ Limit Akar Pangkat 3 Pecahan : Limit Tak Hingga Pengertian Fungsi Rumus Dan Contoh Soal - Nilai akar pangkat = 2 (akar pangkat 2 biasanya tidak dituls di soal) b) nilai akar.
Limit Akar Pangkat 3 Pecahan : Limit Tak Hingga Pengertian Fungsi Rumus Dan Contoh Soal - Nilai akar pangkat = 2 (akar pangkat 2 biasanya tidak dituls di soal) b) nilai akar.
Limit Akar Pangkat 3 Pecahan : Limit Tak Hingga Pengertian Fungsi Rumus Dan Contoh Soal - Nilai akar pangkat = 2 (akar pangkat 2 biasanya tidak dituls di soal) b) nilai akar.. Mengubah bilangan pokok menjadi bilangan yang berpangkat sama dengan penyebut pada pangkat pecahan. Cara cepat dan manual limit tak hingga bentuk akar pangkat tiga play | download. Berikut ini dua contoh soal mengenai hal ini: Pengertian limit dalam ilmu matematika. Teorema limit tak hingga (∞) contoh soal dan pembahasan.
Sehingga, akan bermunculan ide baru untuk menemukan rumus trik cepat mengerjakan limit tak hingga. Padahal, cara merasionalkan bentuk akar pangkat tiga sangat penting sebagai penunjang materi lainnya, misalnya dalam menyelesaikan limit fungsi aljabar yang memuat akar pangkat tiga tanpa menggunkan dalil l'hopital. 5 contoh soal bilangan berpangkat pecahaan. 128 matematika ix smp/mts dengan pangkat pecahan. Rumus cepat dalam mengerjakan limit tak hingga.
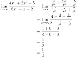
Limit 4 from imgv2-1-f.scribdassets.com 4 3/2 = (2 2) 3/2 = 2 2×3/2 = 2 3 = 8 Perhatikan bahwa untuk mengubah penyebut yang asalahnya bentuk akar menjadi bilangan rasional dibutuhkan pengali. Kedua, pangkat tertinggi pembilang sama dengan pangkat tertinggi penyebut. Diberikan sebuah fungsi f (x) = 1/x 2. 4/3 (ebtanas 1992) pembahasan limit bentuk selisih akar kuadrat dimana a = p dengan b = 3 dan. Metode membagi pangkat tertinggi penyebut. Misalnya akar pangkat (2/3) dari 4 = akar (4)^3 = 2^3 = 8. Harus akar kurang akar dg pangkat tertinggi variabel dari keduanya harus sama.
Pangkat biasanya ditemui sebagai bilangan bulat atau bilangan asli.
3 cara mengubah bilangan berpangkat pecahan menjadi akar. Itulah contoh soal dan pembahasan limit tak hingga fungsi aljabar bentuk pecahan. 128 matematika ix smp/mts dengan pangkat pecahan. Ambil satu pangkat pecahan dan ubah menjadi bentuk akar, misalnya x^ (a/b) = akar pangkat b dari x^a. 28++ contoh soal limit akar pangkat 3. Menentukan akar pangkat tiga suatu bilangan kubik. Rumus cepat dalam mengerjakan limit tak hingga. Hubungan bentuk akar dengan pangkat pecahan pada pembahasan yang lalu telah disebutkan beberapa sifat dari bilangan berpangkat bulat positif. Video pembelajaran (pjj) perpangkatan dan bentuk akar, bagian 3: Cara cepat dan manual limit tak hingga bentuk akar pangkat tiga play | download. Jika pangkat akar ada dalam bentuk pecahan, ubah menjadi bentuk biasa. By ahmad ghani posted on november 7, 2020. Dengan cara ini kita bisa menyelesaikan soal bilangan berpangkat pecahan tanpa harus mengubahnya dahulu ke dalam operasi akar.
Apabila di katakan, x menuju tak hingga, ditulis x → ∞, artinya nilai x semakin besar atau bertambah besar tanpa batas. $\clubsuit $ limit tak hingga pecahan : Di sini, kamu akan belajar tentang bentuk pangkat pecahan melalui video yang dibawakan oleh bapak anton wardaya. Pertama, pangkat tertinggi pembilang lebih kecil dari pangkat tertinggi penyebut. Contoh soal akar pangkat 3(tiga).
Ujian Tulis Berbasis Komputer Limit Mendekati Tak Hingga Akar Pangkat Tiga Offered By Unacademy from edge.uacdn.net Mengubah bilangan pokok menjadi bilangan yang berpangkat sama dengan penyebut pada pangkat pecahan. Logika praktis pengerjaan limit kompasiana com from www.kompasiana.com. Cara cepat menyelesaikan soal limit bentuk akar, matematika sma. 4/3 (ebtanas 1992) pembahasan limit bentuk selisih akar kuadrat dimana a = p dengan b = 3 dan. Di sini, kamu akan belajar tentang bentuk pangkat pecahan melalui video yang dibawakan oleh bapak anton wardaya. 27 2/3 = 27 1/3×2 = (27 1/3) 2 = ( ) 2 = 3 2 = 9. By admin selasa, 09 juni 2020 add comment. Padahal, cara merasionalkan bentuk akar pangkat tiga sangat penting sebagai penunjang materi lainnya, misalnya dalam menyelesaikan limit fungsi aljabar yang memuat akar pangkat tiga tanpa menggunkan dalil l'hopital.
Kita tidak bisa menghilangkan bentuk akar dengan cara kali sekawan seperti halnya akar pangkat 2.
Video pembelajaran (pjj) perpangkatan dan bentuk akar, bagian 3: 4/3 (ebtanas 1992) pembahasan limit bentuk selisih akar kuadrat dimana a = p dengan b = 3 dan. Berikut pengamatan nilai fungsi f. X 7 /x 3 =. Di dalam pembahasan limit, seringkali kita mencari nilai limit saat x menuju tak hingga atau x menuju. Cara cepat menyelesaikan soal limit bentuk akar, matematika sma. Pecahan (a rasional dan √b merupakan bentuk akar) bagian penyebutnya dapat dirasionalkan dengan cara mengalikan pecahan tersebut dengan sehingga pecahan tersebut menjadi seperti berikut: Metode membagi pangkat tertinggi penyebut. Pangkat pecahan ini berhubungan dengan operasi akar. Pertama, pangkat tertinggi pembilang lebih kecil dari pangkat tertinggi penyebut. Daftar isi hide 1 pengertian bilangan berpangkat pecahan. Mulai dari limit tak hingga bentuk akar 2 suku sampai limit tak hingga bentuk akar 3 suku. Kita tidak bisa menghilangkan bentuk akar dengan cara kali sekawan seperti halnya akar pangkat 2.
Pangkat pecahan ini berhubungan dengan operasi akar. 128 matematika ix smp/mts dengan pangkat pecahan. Pecahan (a rasional dan √b merupakan bentuk akar) bagian penyebutnya dapat dirasionalkan dengan cara mengalikan pecahan tersebut dengan sehingga pecahan tersebut menjadi seperti berikut: $ dengan pangkat tertinggi $ m \, $ , maka limit di tak hingganya : Logika praktis pengerjaan limit kompasiana com from www.kompasiana.com.
Rumus The King Limit Fungsi Aljabar Part 1 Belajar Tumbuh Berbagi from i0.wp.com Pertama, pangkat tertinggi pembilang lebih kecil dari pangkat tertinggi penyebut. Nilai akar pangkat = 2 (akar pangkat 2 biasanya tidak dituls di soal) b) nilai akar. Pada contoh di atas, bilangan pangkat pecahan 1/n sama dengan akar pangkat n, sehingga pangkat m/n dipisahkan terlebih dahulu dengan perkalian 1/n x m. Bilangan 103.823 memiliki satuan 3 berdasarkan tabel, 3 berkorelasi dengan 7 hapus 3 bilangan dari belakang 3, 2, dan 8 sehingga tersisa hanya ratus ribuannya yaitu103 berdasarkan tabel, 4 pangkat 3 adalah 64 dan 5 pangkat 3 adalah 125, maka yang paling mendekati adalah 4 jadi, akar pangkat 3 bilangan 103.823 adalah 47 5. Daftar isi hide 1 pengertian bilangan berpangkat pecahan. Setelah mempelajari materinya, kamu juga akan mendapatkan latihan soal interaktif dalam 3 tingkat kesulitan (mudah, sedang, sukar). Mulai dari limit tak hingga bentuk akar 2 suku sampai limit tak hingga bentuk akar 3 suku. Yang dimaksud dengan bilangan tak hingga adalah bilangan yang sangat besar tanpa harus anda sebutkan berapa bilangan tersebut.
Pangkat pecahan ini berhubungan dengan operasi akar.
Kita ketahui bahwa pecahan adalah adalah bilangan yang dapat dituliskan dalam bentuk m/n dengan m,n ∈ bil. Teorema limit tak hingga (∞) contoh soal dan pembahasan. 4/3 (ebtanas 1992) pembahasan limit bentuk selisih akar kuadrat dimana a = p dengan b = 3 dan. Yuk, mari simak penjelasan berikut! Apabila di katakan, x menuju tak hingga, ditulis x → ∞, artinya nilai x semakin besar atau bertambah besar tanpa batas. By admin selasa, 09 juni 2020 add comment. Ketiga, pangkat tertinggi pembilang lebih tinggi dari pangkat tertinggi penyebut. Di dalam pembahasan limit, seringkali kita mencari nilai limit saat x menuju tak hingga atau x menuju. Nilai akar pangkat = 2 (akar pangkat 2 biasanya tidak dituls di soal) b) nilai akar. Padahal, cara merasionalkan bentuk akar pangkat tiga sangat penting sebagai penunjang materi lainnya, misalnya dalam menyelesaikan limit fungsi aljabar yang memuat akar pangkat tiga tanpa menggunkan dalil l'hopital. Sehingga, akan bermunculan ide baru untuk menemukan rumus trik cepat mengerjakan limit tak hingga. Berikut ini adalah rumus limit tak hingga bentuk pecahan. Merasionalkan penyebut sebuah pecahan bentuk akar adalah membuat rasional penyebut pecahan yang asalnya merupakan bilangan irasional.
Berbagi
Posting Komentar
untuk "Limit Akar Pangkat 3 Pecahan : Limit Tak Hingga Pengertian Fungsi Rumus Dan Contoh Soal - Nilai akar pangkat = 2 (akar pangkat 2 biasanya tidak dituls di soal) b) nilai akar."
Posting Komentar untuk "Limit Akar Pangkat 3 Pecahan : Limit Tak Hingga Pengertian Fungsi Rumus Dan Contoh Soal - Nilai akar pangkat = 2 (akar pangkat 2 biasanya tidak dituls di soal) b) nilai akar."